Riemannova hypoteza - Golden Part

Riemann Hypothesis - Golden Part

21. 3. 2022 Ing. Róbert Polák Matematika Mathematics

Úvod

Referencia: Výpočet vychádza z Robin theorem

https://mathworld.wolfram.com/RobinsTheorem.html

Finálny diel (golden) je vrcholom empirického výpočtu preverenia Riemannovej hypotézy, ktorý sumarizuje, opravuje a upresňuje zistenia z predchádzajúcich dielov. Program a kód programu bude dostupný open source na vedecké účely. Program umožňuje preverenie pre čísla, ktoré majú desaťtisíce číslic aj milióny (pokročilé testovanie). Na tak rozsiahly výpočet je potrebný výkonný počítač. Objavená formula viď. obr.2 takéto výpočty umožnila. Tento vzťah sa dá dokázať pomerne jednoducho (analyticky). Na miesto spočítavania všetkých kombinácií prvočíselného rozvoja dosadzovaných čísiel (viď. predošlé diely) postačuje krátky algoritmus, ktorý je 100% verifikovaný na tisícoch čísiel. Program obsahuje aj konverzie pre násobenie a delenie obrovských čísiel, aby mohol pokračovať smerom k nekonečnu. Hlavne sa jednalo o násobenie desatinných čísiel s obrovským celými číslami, či delenie obrovských čísiel.
Z informácii (výpočtov) viď. nižšie sa javí, že kritická hranica 1.781 asi odolá do nekonečna.  Z priebehu je vidieť, že k hranici sa krivka približuje pozvoľna a čoraz pomalšie.

Užívateľské prostredie programu

Riemann_finalpng
Obr. 1 Užívateľské prostredie programu, autor: Robopol.


Program a zdrojový kód v pythone

Final verzia Riemann:
download súboru v Pythone: riemanm_hypothesis_final.py
alebo stiahnuť kód z GitHub: riemanm_hypothesis_final.py
alebo stiahnuť ".exe" súbor: riemann_hypothesis_final.rar ( - jeden ".exe" súbor + obrázok ".png" komprimované WinRar, velkosť:42MB)

Final verzia Guy Robin:
stiahnuť kód z GitHub: guy_robin_ver_final.py
stiahnuť ".exe" súbor: guy_robin_ver_final.exe (6.7 MB)

POPIS: Algoritmus obsahuje výpočet Guy Robin indexu pre rôzne sekvencie, postupnosti, pre potvrdenie platnosti Riemannovej hypotézy. Výpočet je možné robiť do nekonečna, všetko sa odvíja len od výpočtového výkonu PC. Optimálne však trvá výpočet pre sekvenciu 3: 40000 ideálnych čísiel zhruba 20 minút. Obrázok k programu riemann.png si stiahnite z github (pokiaľ spúšťate kód v pythone), umiestnite ho do rovnakej zložky ako je riemann_hypothesis_final.py, inak vyhodí chybovú hlášku.  

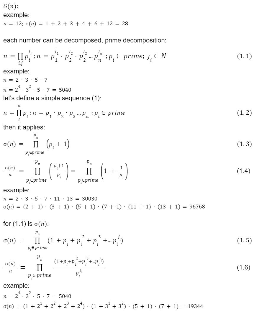
Analytické vzťahy

Z algoritmu (viď zdrojový kód v Pythone)sa dajú odvodiť tieto vzťahy:
sigma_calculationjpg
Obr.2 Vzťahy pre výpočet sigma v Guy Robin vzťahu.


Testovanie

Výpočet trval niekoľko hodín cca 5-6. No a výsledky dosiahli  najvyššie skóre cez 1.780, čo je už veľmi blízko kritickej hranice,. Čitateľ, ak vlastní výkonný PC môže urobiť výpočet aj na 1 milión. .
Testovanie do 300 tisíc:
Najlepšie skóre a zároveň posledné číslo v sekvencii, viď sekvenciu.
- klikni na odkaz (číslo obsahuje tisíce číslic)
To číslo ma viac ako tisíce číslic odhadom. Ak niekto chce výpis postupnosti čísiel s Guy Robin indexom musí rátať, že desaťtisíce a stotisíce čísiel výpisu záberu trocha času :)
test do 300 000.
Figure_300000png
Figure_1png
Obr.3 Testovanie ideálnych čísiel do 300 000 ideálnych čísiel.

Modifikované testovanie

Pre ešte väčšie čísla bol program modifikovaný, aby vypočítal ako to je pre naozaj vzdialené čísla. Veľkosť čísla bude vyjadrená počtom prvočísiel násobených medzi sebou, pre ideálnu sekvenciu budú aj mocniny týchto prvočísiel. Veľkosť však bude udávaná počtom prvočísiel za sebou násobených, prípadne počtom číslic, ktoré testované číslo má.

Testovanie sekvencie (1):

Screenshot - 6_ 12jpg
obr.4 testovanie sekvencie (1), tabuľka + graf priebehu.
Sekvencia (1) je základ pre koncipovanie nejakých záverov.


Testovanie sekvencie (3)- ideálne čísla:

Riemann_test_big_numbersjpg
obr.5 Riemann test - for very big numbers

Verzia Riemann test (program a zdrojový kód programu):
download súboru v Pythone: Riemanm_test.py
alebo stiahnuť kód z GitHub: Riemanm_test.py
alebo stiahnuť ".exe" súbor: Riemann_test.exe

Výsledky pokročilých testov:
Screenshot - 7_ 12jpg
Obr.6 Tabuľka a graf prebiehajúcich výpočtov na ideálnych číslach.

Aproximácia do krátkej budúcnosti

Ekvivalentné podmienky RH, krátky výpočet aproximácie:
  • Všetky rozdiely sú pre všetky čísla sekvencie (3) oproti sekvencii (1) o niečo vyššie, viď tabuľky.
  • Rozdiel u sekvencie (1) medzi 500 tisíc a 2 milióny je 0.0000286792.
  • Pripočítajme tento rozdiel k hodnote 500 tisíc pre (3) sekvenciu. Následne by malo byť číslo pre 2 milióny väčšie ako 1.780994936 + 0.0000286792 =1.7810236152. Čo je spodný odhad čísla pre 2 mil.
  • Stredný odhad je 1.780994936 +1.32* 0.0000286792 =1.781032792544
  •  Kritická hranica je na úrovni 1.78107241799019
Faktom je, že testovanie je naozaj veľmi blízko kritickej hranici.

Aproximácia do vzdialenej budúcnosti

Z dát sa dá aproximovať, sekvencia (3):

  • Zoberme si rozdiel medzi 100 a 1000= 0.0109372138
  • Zoberme si rozdiel medzi 1000 a 10000=0.0027122623
  • Zoberme si rozdiel medzi 10000 a 100000=0.0006265745
Z toho plynie zhruba, že nasledujúce rozdiely sú zhruba 4 násobne menšie pre sekvenciu (3). Pre sekvenciu (1) je to ešte o niečo málo viac. Z doposiaľ vypočítaných hodnôt táto zmena stúpa pre sekvenciu (3), pre sekvenciu (1) klesá :
  1. pre sekvenciu (1): z 5.04 na 4.52
  2. pre sekvenciu (3): 4.03 na 4.328
Ak by bola táto vlastnosť bola zachovaná aj pre nasledujúce čísla, potom by sme dostali takýto rad (pre sekvenciu 3) - približne zoberieme hodnotu 4.3 násobok:
Screenshot - 9_ 12jpg

V tomto prípade pri 4.3 násobne menšom nasledujúcom rozdiele (od 100 000), by sme sa priblížili ku kritickej hranici pri 100 000 000 (teda pri sto miliónoch). No stále by sme boli pod ňou. Zoberme hodnotu 4 násobku dostaneme:
Pričom sekvencia :(sum 1/(4ˆn)*0.0006265745, n=1 to inf) konverguje, klikni na odkaz.
Screenshot - 9_ 12 002jpg
 obr. 7.Horný odhad Guy Robin vzťahu.

  Súčet:
1.7808693236+sum (1/(4ˆn))*0.0006265745), n=1 to infinity= 1.7808693236 +0.000208858= 1.7810781816
To je o niečo málo viac ako kritická hranica, treba si však uvedomiť, že sme zanedbali faktor klesajúcej hodnoty násobku 1/4.3 (pri predpoklade, že sa vlastnosť nijak nezmení, nie je na to dôvod). Vo vzťahu máme len konštantu 1/4 násobok. To by bol teda horný odhad.


Záver

Ekvivalentné podmienky pre Riemannová hypotézu boli preverené zhruba do 10 exp 6722000. Pre túto hodnotu nedôjde k prekročeniu kritickej hodnoty.
Ďalšie zaujímavé súvislosti nájdete v pokračovaní (článok: Riemannová hypotéza _ dodatok).

Riemann Hypothesis Golden Part analysis

Introduction

Reference: Calculation is based on Robin theorem

https://mathworld.wolfram.com/RobinsTheorem.html

The final (golden) part is the culmination of empirical calculation verification of the Riemann Hypothesis, which summarizes, corrects and refines findings from previous parts. The program and program code will be available open source for scientific purposes. The program allows verification for numbers that have tens of thousands of digits or millions (advanced testing). Such extensive calculation requires a powerful computer. The discovered formula see Fig.2 enabled such calculations. This relationship can be proven relatively simply (analytically). Instead of calculating all combinations of prime factorization of substituted numbers (see previous parts), a short algorithm suffices, which is 100% verified on thousands of numbers. The program also contains conversions for multiplication and division of huge numbers, so it can continue towards infinity. It was mainly about multiplying decimal numbers with huge integers, or dividing huge numbers.
From the information (calculations) see below, it appears that the critical boundary 1.781 will probably withstand to infinity.  From the progression it can be seen that the curve approaches the boundary slowly and ever more slowly.

Program User Interface

Riemann_final
Fig. 1 Program user interface, author: Robopol.


Program and source code in Python

Final Riemann version:
download Python file: riemanm_hypothesis_final.py
or download code from GitHub: riemanm_hypothesis_final.py
or download ".exe" file: riemann_hypothesis_final.rar ( - one ".exe" file + ".png" image compressed WinRar, size:42MB)

Final Guy Robin version:
download code from GitHub: guy_robin_ver_final.py
download ".exe" file: guy_robin_ver_final.exe

DESCRIPTION: The algorithm contains calculation of Guy Robin index for various sequences, progressions, for confirming the validity of the Riemann Hypothesis. The calculation can be done to infinity, everything depends only on the computational power of the PC. Optimally, however, the calculation for sequence 3: 40000 ideal numbers takes about 20 minutes. The program image riemann.png download from github (if you run code in python), place it in the same folder as riemann_hypothesis_final.py, otherwise it will throw an error message.  

Analytical Relations

From the algorithm (see source code in Python) these relations can be derived:
sigma_calculation
Fig.2 Relations for calculating sigma in Guy Robin relation.


Testing

The calculation took several hours about 5-6. And the results reached the highest score over 1.780, which is already very close to the critical boundary. Reader, if you own a powerful PC, can do calculation even for 1 million. .
Testing up to 300 thousand:
Best score and also last number in sequence, see sequence.
- click on link (number contains thousands of digits)
That number has more than thousands of digits estimated. If someone wants printout of sequence of numbers with Guy Robin index, must expect that tens of thousands and hundreds of thousands of numbers printout will take some time :)
test up to 300,000.
Figure_300000
Figure_1
Fig.3 Testing ideal numbers up to 300,000 ideal numbers.

Modified Testing

For even larger numbers, the program was modified to calculate how it is for really distant numbers. The size of the number will be expressed by the number of primes multiplied together, for ideal sequence there will also be powers of these primes. However, the size will be given by the number of consecutive primes multiplied, or the number of digits that the tested number has.

Testing sequence (1):

Screenshot - 6_ 12
Fig.4 testing sequence (1), table + progression chart.
Sequence (1) is the basis for conceiving some conclusions.


Testing sequence (3)- ideal numbers:

Riemann_test_big_numbers
Fig.5 Riemann test - for very big numbers

Riemann test version (program and program source code):
download Python file: Riemanm_test.py
or download code from GitHub: Riemanm_test.py
or download ".exe" file: Riemann_test.exe

Results of advanced tests:
Screenshot - 7_ 12
Fig.6 Table and chart of ongoing calculations on ideal numbers.

Approximation to the near future

Equivalent conditions RH, short calculation approximation:
  • All differences are for all numbers of sequence (3) compared to sequence (1) somewhat higher, see tables.
  • The difference for sequence (1) between 500 thousand and 2 million is 0.0000286792.
  • Let's add this difference to the value of 500 thousand for (3) sequence. Subsequently, the number for 2 million should be greater than 1.780994936 + 0.0000286792 =1.7810236152. Which is the lower estimate of the number for 2 mil.
  • The middle estimate is 1.780994936 +1.32* 0.0000286792 =1.781032792544
  •  The critical boundary is at the level of 1.78107241799019
The fact is that testing is really very close to the critical boundary.

Approximation to the distant future

From the data it can be approximated, sequence (3):

  • Take the difference between 100 and 1000= 0.0109372138
  • Take the difference between 1000 and 10000=0.0027122623
  • Take the difference between 10000 and 100000=0.0006265745
From this it follows roughly that the following differences are about 4 times smaller for sequence (3). For sequence (1) it is even a little more. From the values calculated so far, this change rises for sequence (3), for sequence (1) it falls :
  1. for sequence (1): from 5.04 to 4.52
  2. for sequence (3): 4.03 to 4.328
If this property was preserved for the following numbers, then we would get such a series (for sequence 3) - approximately take the value 4.3 multiple:
Screenshot - 9_ 12

In this case, with 4.3 times smaller following difference (from 100,000), we would approach the critical boundary at 100,000,000 (i.e., at one hundred million). But we would still be below it. Take the value 4 multiple we get:
Where the series :(sum 1/(4ˆn)*0.0006265745, n=1 to inf) converges, click on link.
Screenshot - 9_ 12 002
 Fig. 7. Upper estimate of Guy Robin relation.

  Sum:
1.7808693236+sum (1/(4ˆn))*0.0006265745), n=1 to infinity= 1.7808693236 +0.000208858= 1.7810781816
This is a little more than the critical boundary, but we must realize that we neglected the factor of decreasing value multiple 1/4.3 (assuming that the property does not change in any way, there is no reason for it). In the relation we have only constant 1/4 multiple. This would be the upper estimate.


Conclusion

Equivalent conditions for the Riemann Hypothesis were verified approximately to 10 exp 6722000. For this value, the critical value will not be exceeded.
Other interesting contexts can be found in the continuation (article: Riemann Hypothesis _ addendum).