Riemannova hypoteza hladanie dokazu
Riemann Hypothesis - Searching for Proof
Úvod
Tento diel je pokračovaním na predchádzajúci diel: Riemannova hypoteza-dodatok. (diel obsahuje aj kód v Pythone na preverenie rôznych vzťahov). Bez preštudovania predchádzajúcich dielov nebude tento článok zrozumiteľný pre čitateľa. V tomto článku budem hľadať analytický dôkaz (modifikovaných, ekvivalentných tvrdení o RH, ako urobil v minulosti Srinivasa Ramanujan (Ramanudžan), Lagarias, Gronwall ,Robin). V prípade, že čitateľa niečo zaujímavé napadne pri aktuálnom probléme, ktorý sa snažím vyriešiť budem rád za reakciu (emailom). Tento diel priamo nadväzuje na predchádzajúci diel, ktorý už obsahuje kapitolu - hľadanie analytického dôkazu.
Referencie z ktorých vychádzam:
(1) RAMANUJAN, ROBIN, HIGHLY COMPOSITE NUMBERS, AND THE RIEMANN HYPOTHESIS
(2) http://math.colgate.edu/~integers/l33/l33.pdf
(4) Numerical Evaluation of the Lambert W Function
POZNÁMKA: log x=ln x, vo vzťahoch nižšie je log x - prirodzený logaritmus.
V predchádzajúcom diely sú odvodené tieto dôležité vzťahy:



Obr.1 Niektoré dôležité odvodenia z predchádzajúceho dielu.
V minulom diely je rozpracovaný pokus o dôkaz pre hypotézu, že pokiaľ je sklon krivky (aproximácia x/(ln x -1-epsilon) väčší(rovný) na celom definičnom obore ako odvodený vzťah log(x+delta_x)>=log(x)*(x+delta_x)/(x+delta_x-1) (vid. predchádzajúci diel), potom by to znamenalo, že ekvivalentné podmienky pre RH musia platiť tiež.
Počiatočný bod p(k) je stotožnený pre ľubovolný bod x z aproximácie pi(x). Nárast hodnoty pi(x) o 1, znamená, že ďalšie prvočíslo je na hodnote x+delta_x. Z Robopol teorému plynie, že ak je splnený vzťah: log(x+delta_x)>=log(x)*(x+delta_x)/(x+delta_x-1) na celom definičnom obore, potom ekvivalentné podmienky pre RH platia tiež.
To je niečo podobné ako porovnávať derivácie v ľubovolnom bode x. Má to veľkú výhodu v tom, že nemusíme rátať predchádzajúce body (predchádzajúce prvočísla a podobne, násobiť ich medzi sebou). Hypotéza o menšom sklone (v ľubovolnom x) nemusí platiť, to neznamená neplatnosť ekvivalentných podmienok pre RH, no ak platí, že sklon je vždy menší, potom z toho plynie, že ekvivalentné podmienky pre RH musia platiť tiež.
1) Pozrime sa, či sa nedá nájsť analytické riešenie rovnice log(x+delta_x)>=log(x)*(x+delta_x)/(x+delta_x-1):

To znamená, že existuje analytické riešenie tejto rovnice. Uvidíme, či to pomôže pri porovnávaní s analytickým riešením rovnice pre aproximáciu pi(x).
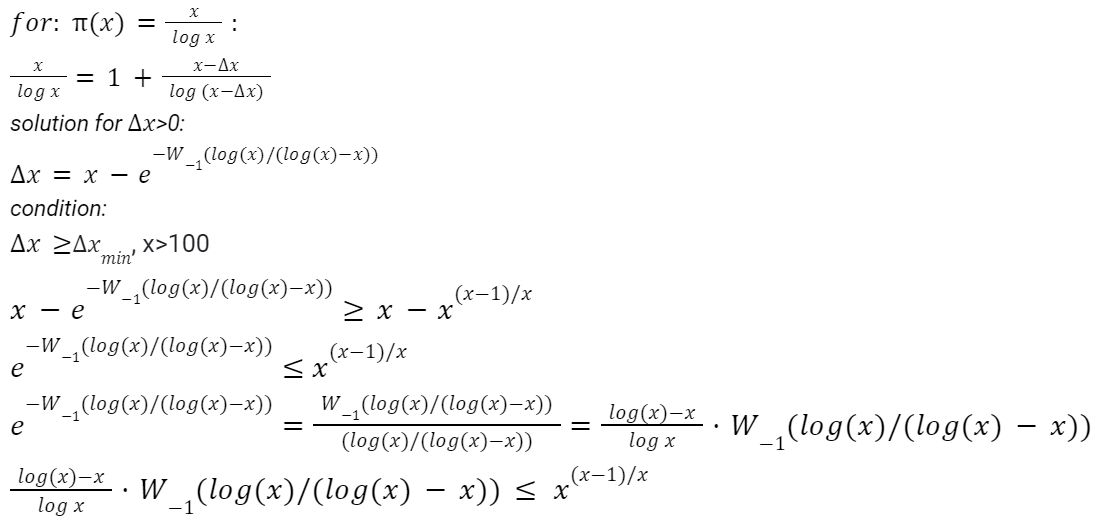
2) Teraz je potrebné, aby sme upravili rovnicu pre pi(x), tak aby sme miesto premennej t mohli použiť x, potom dostaneme:

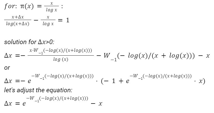
Z riešenia rovnice vidíme, že delta_x je veľmi podobné predchádzajúcej rovnici. Teraz potrebujeme preveriť výslednú nerovnosť a jej platnosť pre x >100.
Pre jednoduché dosadenie naozaj veľkých čísiel (napr. vo Wolframe) je podmienka splnená, poďme teda vytvoriť limitu, čomu sa tento vzťah rovná:

Obr. 2 Výpočet limity vzťahu pre pi(x)=x/log(x)
Result:
No a Wolfram nedokáže vypočítať túto limitu, nedokáže nám ani povedať či je číslo kladné, alebo záporné.
Poďme to preskúmať hlbšie. Najskôr preveríme pravú stranu vzťahu x^((x-1)/x), urobíme deriváciu a limitu:

Obr.3 Derivácia a limita vzťahu x^((x-1)/x)
Teraz sa pozrime na tu W- funkciu:


Obr. 3 derivácia, limita, príklad pre W-funkciu na ľavej strane
Vyhodnotenie:
Pokúsil som sa porovnať vzťahy pre limity, no ani ja ani Wolfram nenašiel korektné riešenie. Bohužiaľ inverznú Labertovú funkciu: W-1, teda productlog(-1,x), ktorá sa vo vzťahu na ľavej strane nerovnosti objavila nie je ani jednoduché rozviesť do Taylorového rozvoja. Pokúsil som sa porovnať derivácie týchto funkcii v zmysle obr. 3 a pre obe strany derivácie rýchlo konverguje k 1. Z príkladu vidieť, že derivácia W- funkcie je stále o niečo väčšia ako derivácia x^((x-1)/x). Príklad, kde si môžete pozrieť výsledky pre rôzne x - odkaz. Pri dosadzovaní (z numerického testu) sa hodnoty približovali k 1, z čoho plynie, že aj samotná limita bude zrejme 1. No úplne korektne to neviem doposiaľ dokázať. No záver je ten, že uvedená nerovnosť pre aproximáciu pi(x)=x/log x je zrejme splnená až do nekonečna, pretože derivácie týchto funkcii smerom k nekonečnu spejú k 1. Uvedené rovnice umožňujú preveriť nerovnosť ľubovolne ďaleko.
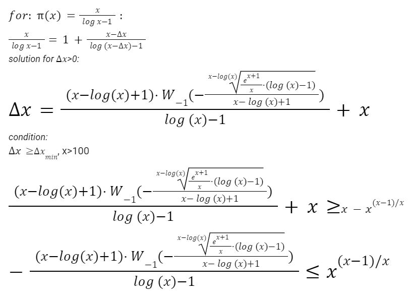
2) Výpočet pre aproximáciu pi(x)=x/(log x -1)

Pri dosadení veľkých čísiel zistíme, že podmienka je splnená:
Príklad:


Obr.4 Test platnosti rovnice
Derivácia analytického riešenia pre delta_x:

obr.5 Derivácia analytického riešenia pre delta_x
Vyhodnotenie:
Obdobne dopadla aj aproximácia pi(x)=x/(log x -1) v porovnaní s predchádzajúcou aproximáciou pi(x)=x/log x. Derivácia taktiež konverguje ku 1 pri manuálnom dosadení do vzťahu. Limita tejto komplikovanej funkcie sa taktiež nedá jednoducho zistiť, keďže obsahuje aj Lambertovú funkciu W-1. Zrejme teda platí aj pre túto aproximáciu, že uvedené vzťahy budú platiť až do nekonečna. Resp. je možné ich preveriť ľubovolne ďaleko.
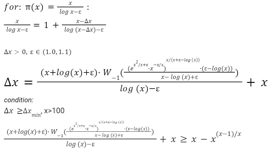
3) Výpočet pre aproximáciu pi(x)=x/(log x -epsilon)

Obr.6 Odvodené analytické riešenie pre aproximáciu pi(x)=x/(log x -epsilon)
V zmysle referencie (3) - Prime number theorem je vzťah:

Teda pre akékoľvek nenulové epsilón je aproximácia väčšia ako pi(x). Pri testovaní epsilón sa dá zistiť nasledujúca závislosť:
Uvedený vzťah je vždy väčší ak platí epsilon=1+1/x. Teda napríklad pre x=10^15 musí byť hodnota epsilón=1+1/10^15. V odkaze pre sústavu rovníc si môžete overiť túto závislosť - odkaz. Ak však bude epsilón väčší nerovnica nebude splnená (viď. vyššie). Teda aproximácia pi(x)=pi(x)=x/(log x -1) je v zmysle nerovnosti tá kritická hranica.
Záver
Z uvedených vzťahov sa dá tvrdiť, že pokiaľ je lim pi(x), x->infinity = lim x/(log x -1), x->infinity, potom uvedené vzťahy ukazujú, že ekvialetné podmienky pre RH by platili. No keďže sa nepodarilo vyrátať limitu korektne pre x=infinity nie je to možné považovať za exaktný dôkaz. No zároveň vzťahy umožňujú preveriť túto nerovnosť (viď. vzťahy obr.4) pre ľubovolné x. Tu v článku boli preverené vzťahy do hodnoty zhruba 10^500. Zároveň odvodené vzťahy môžu napomôcť aj na iné účely, ako je preverenie RH. Možno v budúcnosti, ak sa podarí vyriešiť limitu analyticky presne bude článok doplnený(resp. z dôvodu veľkosti bude vytvorený nový článok).
Vzťah pre výpočet W-1 ukazuje referencia 4:

Introduction
This part is a continuation of the previous part: Riemann Hypothesis-addendum. (the part also contains code in Python for verifying various relations). Without studying the previous parts, this article will not be understandable for the reader. In this article I will search for analytical proof (of modified, equivalent statements about RH, as done in the past by Srinivasa Ramanujan (Ramanujan), Lagarias, Gronwall, Robin). In case the reader thinks of something interesting regarding the current problem I am trying to solve, I would be happy for a response (by email). This part directly follows the previous part, which already contains a chapter - searching for analytical proof.
References from which I proceed:
(1) RAMANUJAN, ROBIN, HIGHLY COMPOSITE NUMBERS, AND THE RIEMANN HYPOTHESIS
(2) http://math.colgate.edu/~integers/l33/l33.pdf
(4) Numerical Evaluation of the Lambert W Function
NOTE: log x=ln x, in the relations below log x is the natural logarithm.
In the previous part, these important relations are derived:



Fig.1 Some important derivations from the previous part.
In the last part, an attempt at proof for the hypothesis is elaborated, that if the slope of the curve (approximation x/(ln x -1-epsilon) is greater (equal) on the entire domain than the derived relation log(x+delta_x)>=log(x)*(x+delta_x)/(x+delta_x-1) (see previous part), then it would mean that equivalent conditions for RH must also hold.
The starting point p(k) is identified for any point x from the approximation pi(x). Increase of pi(x) value by 1 means that the next prime is at value x+delta_x. From Robopol theorem it follows that if the relation: log(x+delta_x)>=log(x)*(x+delta_x)/(x+delta_x-1) is satisfied on the entire domain, then equivalent conditions for RH also hold.
This is something similar to comparing derivatives at any point x. It has a great advantage in that we don't have to calculate previous points (previous primes and similar, multiply them together). The hypothesis about smaller slope (at any x) doesn't have to hold, this doesn't mean invalidity of equivalent conditions for RH, but if it holds that the slope is always smaller, then it follows that equivalent conditions for RH must also hold.
1) Let's see if we can find an analytical solution to the equation log(x+delta_x)>=log(x)*(x+delta_x)/(x+delta_x-1):

This means that an analytical solution to this equation exists. We'll see if this helps when comparing with the analytical solution of the equation for approximation pi(x).
2) Now it is necessary that we modify the equation for pi(x), so that instead of variable t we can use x, then we get:

From the solution of the equation we see that delta_x is very similar to the previous equation. Now we need to verify the resulting inequality and its validity for x >100.
For simple substitution of really large numbers (e.g. in Wolfram), the condition is satisfied, so let's create a limit to what this relation equals:

Fig. 2 Calculation of limit of relation for pi(x)=x/log(x)
Result:
And Wolfram cannot calculate this limit, it cannot even tell us whether the number is positive or negative.
Let's examine this deeper. First we'll check the right side of the relation x^((x-1)/x), we'll do derivative and limit:

Fig.3 Derivative and limit of relation x^((x-1)/x)
Now let's look at the W-function:


Fig. 3 derivative, limit, example for W-function on the left side
Evaluation:
I tried to compare relations for limits, but neither I nor Wolfram found a correct solution. Unfortunately, the inverse Lambert function: W-1, i.e., productlog(-1,x), which appeared in the relation on the left side of the inequality, is not easy to expand into Taylor expansion. I tried to compare derivatives of these functions in the sense of Fig. 3 and for both sides the derivatives quickly converge to 1. From the example you can see that the derivative of the W-function is still somewhat larger than the derivative of x^((x-1)/x). Example where you can see results for various x - link. When substituting (from numerical test), the values approached 1, from which it follows that the limit itself will probably be 1. But I cannot prove this completely correctly so far. But the conclusion is that the mentioned inequality for approximation pi(x)=x/log x is probably satisfied up to infinity, because derivatives of these functions towards infinity converge to 1. The mentioned equations allow verification of the inequality arbitrarily far.
2) Calculation for approximation pi(x)=x/(log x -1)

When substituting large numbers we find that the condition is satisfied:
Example:


Fig.4 Test of equation validity
Derivative of analytical solution for delta_x:

Fig.5 Derivative of analytical solution for delta_x
Evaluation:
Similarly, the approximation pi(x)=x/(log x -1) turned out compared to the previous approximation pi(x)=x/log x. The derivative also converges to 1 with manual substitution into the relation. The limit of this complicated function also cannot be easily determined, since it also contains the Lambert function W-1. So it probably also holds for this approximation that the mentioned relations will hold up to infinity. Respectively, it is possible to verify them arbitrarily far.
3) Calculation for approximation pi(x)=x/(log x -epsilon)

Fig.6 Derived analytical solution for approximation pi(x)=x/(log x -epsilon)
In the sense of reference (3) - Prime number theorem is the relation:

So for any non-zero epsilon, the approximation is greater than pi(x). When testing epsilon, the following dependency can be determined:
The mentioned relation is always greater if epsilon=1+1/x holds. So for example for x=10^15, the epsilon value must be epsilon=1+1/10^15. In the link for the system of equations you can verify this dependency - link. But if epsilon is larger, the inequality will not be satisfied (see above). So the approximation pi(x)=pi(x)=x/(log x -1) is in the sense of inequality the critical boundary.
Conclusion
From the mentioned relations it can be claimed that if lim pi(x), x->infinity = lim x/(log x -1), x->infinity, then the mentioned relations show that equivalent conditions for RH would hold. But since the limit could not be calculated correctly for x=infinity, this cannot be considered an exact proof. But at the same time, the relations allow verification of this inequality (see relations Fig.4) for any x. Here in the article, relations were verified up to approximately 10^500. At the same time, derived relations can also help for other purposes, such as verifying RH. Maybe in the future, if the limit can be solved analytically precisely, the article will be supplemented (or due to size, a new article will be created).
The relation for calculating W-1 is shown in reference 4:
